konsep bentuk muka bumi
Malaysia terletak di tenggara benua Asia. Pulau-pulau di Indonesia banyak berpegunungan lereng yang curam lembah yang dalam.
Maksud Bentuk Muka Bumi Ocspaab
Gua gerbang laut batu tungguldan tunggul.
. Pendekatan Konsep dan Prinsip Geografi - SMA Kelas 10 Bentuk muka bumi sebagai hasil proses geologis berupa pengangkatan pengikisan dan sedimentasi. Permukaan bumi cekung diantaranya danau lembah ataupun lautan. Menerangkan bentuk muka bumi yang.
Gunung adalah bentukan relief yang mempunyai. Sejarah tentang bumi ini telah dikenal oleh bangsa Yunani. Ppt bab 1 bentuk muka bumi powerpoint presentation free download id 2151080.
Masyarakat di dataran tinggi rata-rata bekerja. Morfologi adalah perwujudan dari bentuk permukaan bumi yang diakibatkan oleh pengangkatan dan penurunan wilayah. Permukaan bumi cekung diantaranya danau lembah ataupun lautan.
Relief daratan lautan gambar bentuk keterangan contoh. Pada daerah dua lempeng saling. Satu proses pemindahan Bahan yang ada di dalam alur sungai dipindahkan dari hulu ke hilirnya serentak dgn aliran tersebut Dipengaruh oleh tenaga kinetik Bahan yang diangkut disumbangkan oleh proses luluhawa cerun hakisan larian air permukaan dan gerakan jisim PENGANGKUTAN SUNGAI.
Strabo 1970 Geografi erat kaitannya dengan faktor lokasi karakterisitik tertentu dan hubungan antar wilayah secara keseluruhan. Geo manusia - bentuk muka bumi 1. Sabah dan Sarawak pula terletak di Pulau Borneo.
Morfologi adalah perwujudan dari bentuk permukaan bumi yang diakibatkan oleh pengangkatan dan penurunan wilayah. Tenaga geologi yang berasal dari dalam yang disebut tenaga endogen menyebabkan terjadinya bentukbangunan relief permukaan bumi. Bentuk muka bumi atau bentuk bumi ialah ciri.
Luluhawa hakisan Pergerakaan jisim Pengangkutan pemendapan. Contoh pola pemukiman penduduk di wilayah pesisir memanjang mengikuti garis pantai. Konsep dan takrifan bentuk muka bumi.
Antara jenis-jenis bentuk muka bumi jalar dalam. KONSEP GEOMORFOLOGI DAN KONFIGURASI BENTUK MUKA BUMI. Tenaga geologi yang berasal dari luar yang disebut tenaga eksogen menyebabkan perombakan bangunan relief permukaan.
Konsep Dan Takrifan Bentuk Muka Bumi from slideplayerinfo Jenis jenis bentuk muka bumi daratan. Permukaan bumi cekung diantaranya danau lembah ataupun lautan. Ppt bab 1 bentuk muka bumi powerpoint presentation free download id 2151080.
Relief daratan lautan gambar bentuk keterangan contoh. Konsep ini mengacu pada susunan atau penyebaran fenomena pada ruang muka bumi. Permukaan bumi yang tidak rata ini disebabkan oleh gaya endogen dan eksogen dimana itu menciptakan beraneka ragam relief dari tingkat.
Bentuk muka bumi di malaysia terbahagi kepada. Morfologi menggambarkan perwujudan daratan di muka bumi yang merupakan hasil proses pengangkatan atau penurunan wilayah melalui proses geologi. Dalam bahasa Inggris kata Geography diserap dari bahasa Yunani Geographia.
Bentuk muka bumi akibat tenaga tektonik materi. Semenanjung Malaysia merupakan sambungan daripada tanah besar Asia. PROSES GEOMORFOLOGI ENDOGENIK EKSOGENEIK.
Konsep Dan Takrifan Bentuk Muka Bumi - 5 Karakteristik Pola Aliran Sungai Dan Proses Terbentuknya. Kedudukan Malaysia ialah antara garis lintang 1U hingga 7U dan menganjur dari garis bujur 100T hingga 120T. Konsep pola berkaitan dengan susunan bentuk dan persebaran fenomena baik fenomena alam ataupun fenomena sosial yang terjadi di muka bumi.
Konsep morfolgi juga bisa diartikan hubungan antara bentuk bumi dengan aktivitas manusia. Bentuk muka bumi jalar dalam jalar dalam akan kelihatan apabila pergerakan air dan perubahan iklim telah menghakis dan mendedahkannya pada permukaan bumi. Persebaran penduduk yang berada di sekitar aliran sungai akan mengikuti pola aliran sungai.
Konsep dan takrifan bentuk muka bumi. UNIT 6. Mengutip dari buku Geografi kelas X kata geografi berasal dari kata geo berarti bumi dan graphika artinya lukisan atau tulisan.
Ada dataran rendah adapun dataran tinggi keadaan tersebut bukan hanya terdapat di daratan. 20 KONSEP GEOMORFOLOGI BERDASARKAN KEPADA SATU CONTOH PROSES PEMBENTUKAN BENTUK MUKA BUMI YANG KHUSUS. Faktor Penyebab perubahan bentuk muka bumi.
Mengenai pengertian gunung sendiri adalah permukaan bumi yang menonjol dan juga menjulang tinggi. Mengemukakan bahwa Objek study geografi adalah kelompok manusia dan organisasinya di muka bumi. Konsep morfolgi juga bisa diartikan hubungan antara bentuk bumi dengan aktivitas manusia.
Pengertian SIG Menurut Para Ahli. Bentuk muka bumi hakisan ombak hakisan ombak telah menyebabkan perubahan pada bentuk muka bumi di pinggir laut dan menghasilkan pandang darat pinggir lau Bentuk muka bumi pinggir pantai melabel bentuk muka bumi pinggir pantai dengan tepat. Pendapat ini kemuadian di sebut Konsep Natural Atrribut of Place.
Masyarakat di dataran tinggi rata-rata bekerja. Konsep esensial geografi yang berkaitan dengan bentuk muka bumi adalah konsep morfologi. Permukaan bumi cekung diantaranya danau lembah ataupun lautan.
Mengenai pengertian gunung sendiri adalah permukaan bumi yang menonjol dan juga menjulang tinggi. Endogenik Gunung berapi Gempa bumi Metamorfosis batuan Gelinciran Perlipatan kerak bumi. Konsep esensial geografi yang berkaitan dengan bentuk muka bumi adalah konsep morfologi.
Kata Geo artinya bumi dan grapho bermakna untuk menulis.
Contoh Bentuk Muka Bumi Rylandcxt
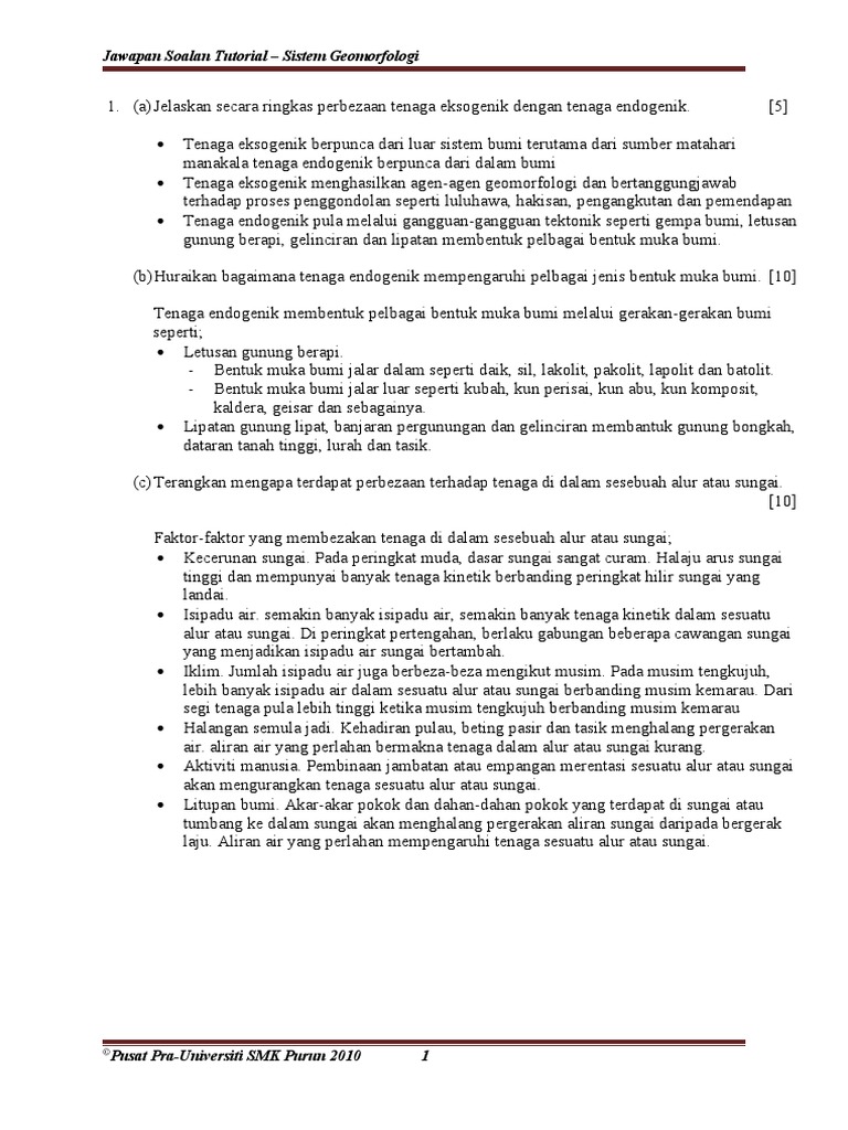
Soalan Tutorial Sistem Geomorfologi Jawapan Pdf
Bentuk Muka Bumi Beserta Penjelasan Secara Lengkap
Ppt Bentuk Muka Bumi Sistem Fluvial Powerpoint Presentation Free Download Id 4195035
Ppt Bab 1 Bentuk Muka Bumi Powerpoint Presentation Free Download Id 2151080
Doc Serangkap Sajak Bentuk Muka Bumi Sajak Rabiah Al Adawiyya Academia Edu
Geografi Tingkatan 1 Tema 1 Bentuk Muka Bumi
Keragaman Bentuk Muka Bumi Ppt Download
Bentuk Muka Bumi Beserta Penjelasan Secara Lengkap
Geografi Tingkatan 1 Topik Tajuk Teruskan Home 1 1 Bentuk Muka Bumi Ppt Download
Bentuk Muka Bumi Struktur Lapisan Bumi Pengantar Struktur
Bentuk Muka Bumi Struktur Lapisan Bumi Pengantar Struktur
Bentuk Muka Bumi Serta Penjelasan Masterpendidikan Com
Nota Geografi Kepelbagaian Bentuk Muka Bumi Di Malaysia Pdf
Contoh Bentuk Muka Bumi Rylandcxt


No comments for "konsep bentuk muka bumi"
Post a Comment